Hi all,
I have a very small model that runs perfectly under displacement loads. However, when I switched to force loads, the model cannot even move one step at all. Would you please help me with this?
Thanks!
Figure 1. The model runs smoothly under displacement load
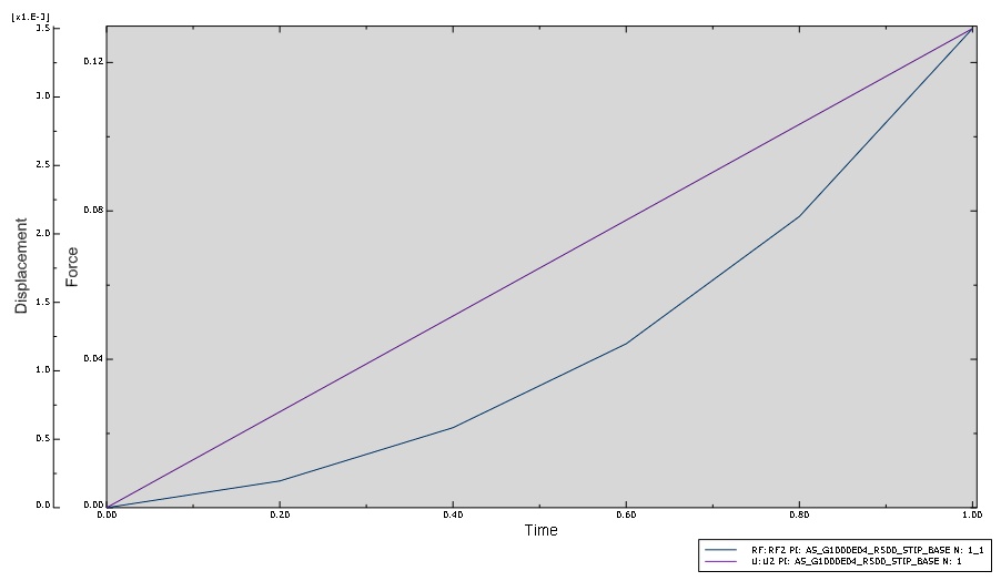
Figure 2. The force exceeds 1 newton under displacement load, therefore my load is not too high
Attachment: the input file of the model
