Hello there,
I was wondering if its possible to access interpolated pressure values between nodal pressures in my acoustic simulation through python scripting. For example consider this construct:
myOdb = openOdb(path=pathName)
samplePressure1 = myOdb.steps['SSD'].frames[0].fieldOutputs['POR'].nodes[0].data[1]
samplePressure1 should give me a nodal pressure while samplePressure2 will give another nodal pressure. However, I would like to access an interpolated pressure between samplePressure1 and samplePressure2.
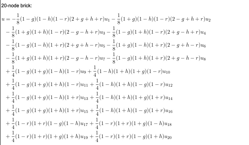
The only way I can think of now is coding the interpolation function according to what is described in the abaqus documentation>> abaqus theory guide>>elements>>continuum elements>>solid isoparametric quadilaterals (see figure attached). I would like to know if there is another way I can go about this.
Context: Why am I doing this?
I have a structural-acoustic simulation that comprises a plate in half baffle. I want to compute the plate velocity (v) * airpressure (p) at exact locations. However, equally, I have to reduce the mesh in the acoustic medium to save computation resources, so the meshes don't match at the interface.
Thank you in advance
