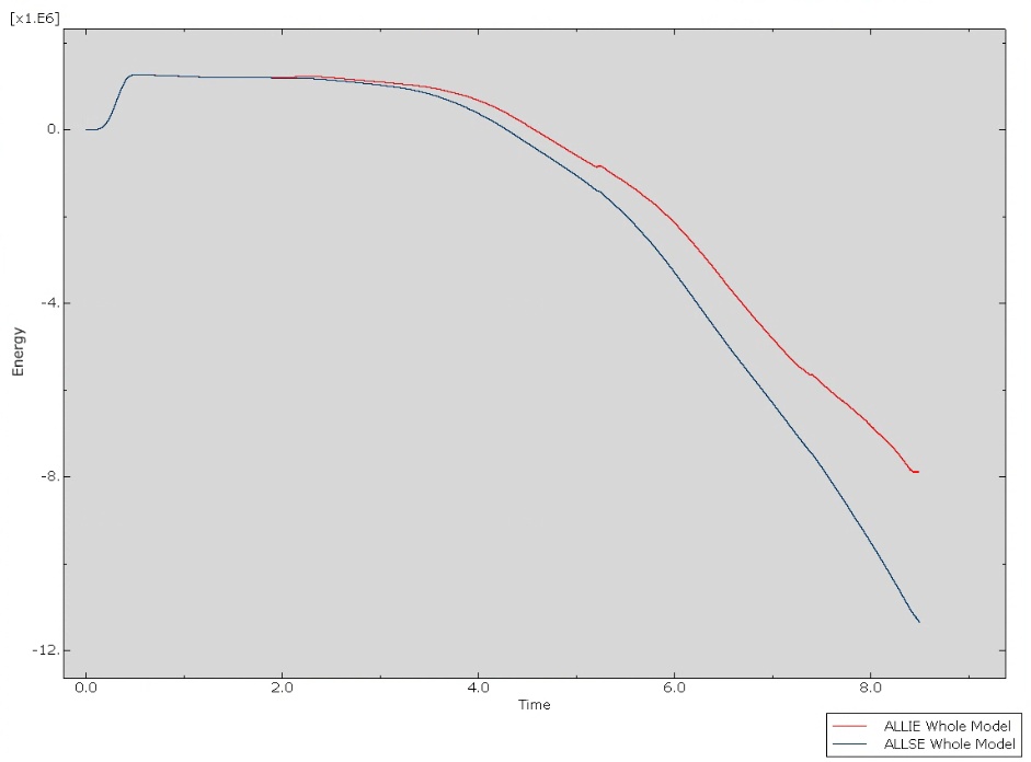
HI,Guys.I was recently doing a quasi-static analysis with Abaqus and found that the output energy (ALLIE, ALLSE) would increase and then decrease to 0 and then grow negatively. I am not sure what causes this, because even then, the model does not stop computing and can finish the calculation normally. I can explain the increase and the decrease of energy, but I am not sure about this trend, can anyone help me?
The ontology used in my model is CDP (concrete plastic damage)
