Note : This post describes a new feature available in R2024x FD01, aka HotFix 1.6 (Feb 10, 2024).
From time to time I have been asked about how to model an elastomeric material that is not isotropic. Imagine an elastomer that is reinforced with (elastomeric) fibers along one direction. This gives rise to the stress-strain plot as shown above. Typically if you think 'elastomer' (homogeneous / isotropic), you would think of using a hyperelastic material model. So, perhaps, for this non-isotropic elastomer case, you might think to model the material with an anisotropic hyperelastic material model in Abaqus. The challenge is that many of the usual anisotropic hyperelastic material models were created to model biologic tissues. For biologic materials, the reinforcing material is collagen fibers. As the tissue is stretched in different directions, these collagen fibers align with the direction of the stretching, causing a strong upturn in the stress-strain curve. The main aspect of the anisotropy for these biologic tissues is that this strong upturn in stress-strain occurs differently in the different directions. See for example, this post on arterial tissue:
Or this post on myocardium tissue.
How about a non-biologic material that has essentially no strong upturn in stress-strain ?
Creating some fake test data : The file Unit_Cube_3modes_2dirs_NHdegenKS_1RVE.inp was used to prepare fake test data. The "3 modes" refers to uniaxial, biaxial, and planar deformations.
The lower three unit-cubes are simple homogeneous (no fiber) models with a Neo-Hooke C1=0.175 ; pulled in the Z direction.
The upper unit-cube has added 4 truss elements as fibers along the X-dir. ; pulled in X. The truss elements are also assigned the same NH material, with an element cross-section area of 0.2
The aim was simply to create some synthetic test data that had the "look" of the 1st image above, that is, no strong upturn in stress-strain over the intended strain range of interest. This RVE model file and the synthetic test data are included in the attached zip file. The resulting fake test data looks like this:
Kaliske-Schmidt anisotropic hyperelasticity. This material model was added to the Abaqus solver in 2022, prior to that it was available as a user-subroutine. This material model was added to the calibration app in the 3DExperience platform in R2024 FD01.
From the Abaqus docs:
The K-S model can be degenerated to an isotropic Yeoh model by setting only a1, a2, a3 parameters to non-zero values. The K-S model can be degenerated to an isotropic Neo-Hooke model by setting only a1 to a non-zero value.
For our example here, we are interested in something akin to an anisotropic Neo-Hooke model. with reinforcing in a single direction (N=1). This means we will restrict our attention to the "a" and "c" parameters.
If you were to open the .3dxml file from the attached zip file it would look like this: (remember, this is only possible with R2024x FD01 and later, coming to the public cloud on Feb 10, 2024)
Zooming in:
This uses FE mode, using just 1 Abaqus input file, containing 4 unit-cubes (in the zip file). Output from each of the unit-cubes is matched against the corresponding synthetic test data. As we start, we are just focusing on the uniaxial deformation responses. In the image above, the Kaliske-Schmidt "a1" parameter is set to 0.175 MPa, with all other parameters set to 0.0 This is the isotropic NeoHooke setup. There are two solid line responses on top of each other (black and blue).
If we set the "c2" parameter = 0.1 and perform an Evaluate, we see this:
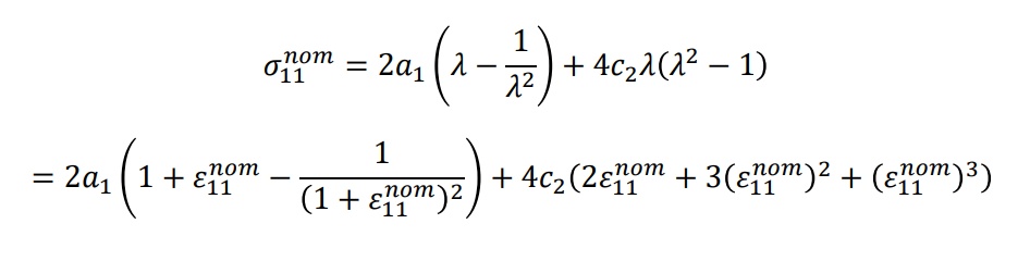
Notice that the small c2 value contributes what looks like a cubic response. In fact, for the nominal stress in the 1 direction (fiber direction), the c2 value contributes a linear, quadratic and cubic term to the nominal stress.
The derivation of the above equation is shown in the PDF file (click on the image below).
Can the Kaliske-Schmidt anisotropic hyperelastic model be used to capture the shape of this test data? Let's add in the c3 and c4 parameters and try to calibrate.
The calibration (above) took about 88 seconds and the resulting parameters are:
The zip file below contains the files used in this example.
Back to: Sharing Material Test Data
Back to: Material Modeling and Calibration - An Overview and Curriculum
