The image above depicts 3 unit cubes. The left-most cube is deformed in equibiaxial tension, the middle cube in uniaxial tension and the right-most cube in planar tension. The .inp file attached in the zip file was generated many years ago to demonstrate how one can use the calibration capability in the Abaqus solver (batch pre). It was used to show how one can calibrate to data from just one mode, yet visualize the deformations of the other modes. In this example, we have test data from only the equibiaxial mode of deformation. And our target material model is the fully incompressible hyperelastic Yeoh model.
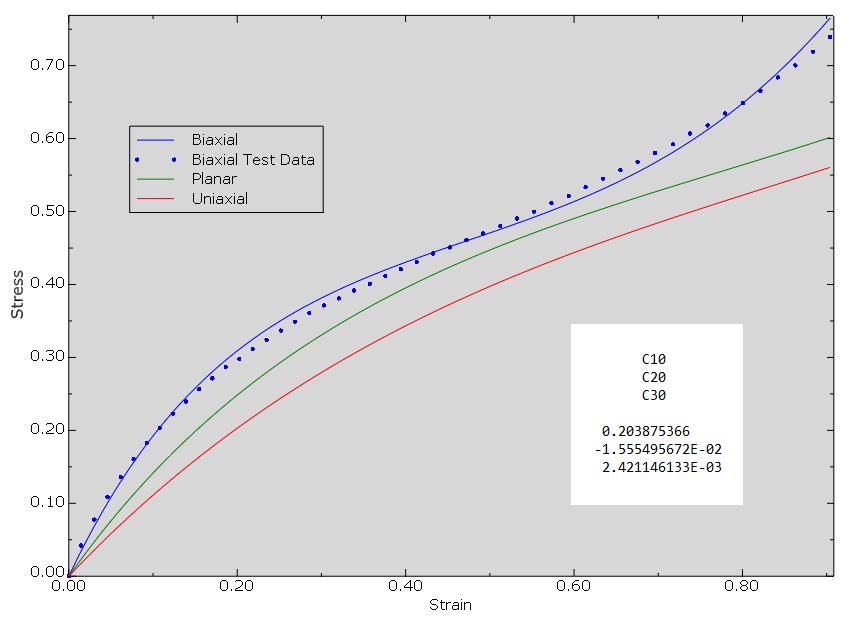
Since we are using unit cubes, force is the same as nominal stress and displacement is the same as nominal strain. The biaxial test data goes out to a strain of 0.904 and we deform each unit cube by this amount. For simplicity, we have also made the time equal to the strain. Running that .inp file in Abaqus, and post-processing to plot the three responses, we get this (image below). The deviatoric parameters are copied from the .dat file. The material is fully incompressible since there is no volumetric test data given.
Note: The first .inp file was used in this case. It contains the *biaxial test data keyword line and data.
Abaqus/CAE (Abaqus solver) result:
Using the same biaxial test data in the 3DX calibration app, and using the analytical mode, we get the image below. We use the "Response Only" capability to plot the response of the planar and uniaxial deformation. The deviatoric parameters are exactly the same to at least 6 decimal places. The analytical mode calibration takes less than 1 second.
Note: The 3DX calibration app has an error norm “Relative Square Error (RSE)” that matches the error norm used in the Abaqus solver. It also has an optimization solver “Linear Least Squares Fit” that matches the solver used in Abaqus for the Yeoh model.
The 3DX calibration app makes it very easy to explore how this result might change if one uses a different error norm, or a different optimizing solver.
Analytical mode result:
When we change to numerical mode, the “Linear Least Squares Fit” does not exist. We use the Nelder-Mead optimizing solver. Numerical mode takes about 5 seconds to perform the calibration. The result looks identical to the above image/solution (not shown here).
For the FE mode, setting up the calibration is shown in the video below. This makes a nice example how one can use the FE mode using a single .inp file, yet using several distinct models and model results. The video also points out that in FE mode the "Response Only (RO)" icon does not exist, but a work around is shown to create RO responses. The FE mode calibration took 63 seconds.
Note: The second .inp file is used in this case. There is currently a limitation or bug in that the app does not correctly process a .inp file that contains *biaxial test data. The second .inp file omits this part.
FE mode video:
The result of the FE mode calibration is shown below.
The attached zip file contains:
- An Abaqus .inp file filename: Unit_Cube_3_modes.inp
- A second version of this .inp file filename: Unit_Cube_3 modes_b.inp
- The biaxial test data in a .txt file
- An Excel file containing both the test data and the Abaqus solver responses.
