CST Studio Suite Eigenmode
Finding Band diagram is easier than ever!
Soon after the band diagrams found and used in quantum mechanics and solid-state physics, Electromagnetic experts have found out that the analogous concept could also be derived in electromagnetic analysis. A concept that these days appear in several applications, e. g., metamaterial, frequency selective surfaces radome, photonic band gap engineering, artificial magnetic conductors, antenna arrays, etc.
It has not been always easy to find the dispersion diagrams but in this article I would like to show that it has changed!
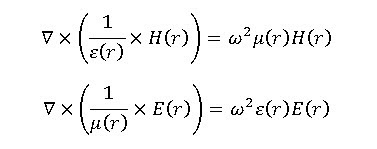
Solving Eigen value problem [1] (see equations below) in Electromagnetic domain allow us to find all the modes existing inside the desired structure.
Eigen value problem have discrete solutions that are orthogonal to each other. It can be showed that the E/H fields can only exist as integer combination of the Eigen-modes. That is a very interesting result since we can get an overall overview of the electromagnetic behavior of structure by looking at its Eigen value solutions or better known as “Eigen modes”.
This feature is even more exciting when it comes to periodic structures. Bloch theorem shows that the electric and magnetic fields follow a periodic pattern inside a periodic structure. It specifically helps us to limit our analysis window to the “Eigen modes” inside only one periodicity in which the Eigen modes are uniquely manifested. This domain is called “irreducible Brillouin zone”. It should be noted that the Eigen modes would repeat themselves outside of the first Brillion zone.
By sweeping the irreducible Brillouin zone based on reciprocal lattice vectors (in wave vector space) and finding the Eigen modes along the curve, we will be able to construct the whole dispersion diagram of the structure.
For example, the two dimensional hexagonal lattice below would be completely covered in terms of Eigen mode calculation if we sweep the wave vectors from 𝜞--> K--> M-->𝜞
Figure. 1: Wigner–Seitz cell and irreducible Brillouin zone of a 2D hexagonal lattice
Finding the first Brillouin zone, irreducible Brillouin zone as well as bloch theorem had been extensively discussed in several text books [2, 3]. Thus, I assume here that these definitions are known and I would not go more in detail.
Now let’s get into CTS Studio Suite. CST Eigen mode solver has been offering the dedicated solver to tackle these simulation challenges. General Lossy solver is able to include dispersive lossy materials, open boundaries and ports into the consideration that makes it the best tool to simulate complex scenarios.
Figure. 2: General Lossy solver, the comprehensive solver for Eigen mode calculation in CST Studio Suite
Applying periodic boundary conditions in CST studio suite can be applied through the boundary condition with the same name. The phase difference between the each side of the PBC pair would be specified through phase shift boxes for “X” and “Y” axes. This Boundary Condition however helps us only for rectangular lattices in which the reciprocal lattice vectors are orthogonal to each other.
I am so excited to mention that in coming version CST studio suite, Eigen mode solver uses UnitCell Boundary condition that enables the users to define Parallelogram lattice vectors.
Through this feature, the dispersion diagram of the hexagonal structures shown in below could be calculated without any tedious post-processing steps.
Figure. 3: the hexagonal lattice simulated in CST Eigen mode solver and the corresponding phase shift of UnitCell boundary condition
The phase shifts are swept in a single parameter sweep procedure so that the desired wave vector path (𝜞--> K--> M-->𝜞) have been fully covered. The figure. 4 depicts the dispersion diagram. It can be noted that the there is an area in which no Eigen frequencies have been found in the whole range of Bloch wave vector. It simply means that no electromagnetic field is permitted in that frequency range and thus it is commonly called as the band gap.
Figure. 4: Dispersion diagram and the band gap of the hexagonal lattices
Should you have any question or comment, please feel free to share your experiences and ideas.
I would like to know how you take care of dispersion diagram and bandgap simulation!
References:
[1] : Jackson, John David. "Classical electrodynamics." (1999): 841-842.
[2]: Joannopoulos, John D., Steven G. Johnson, Joshua N. Winn, and Robert D. Meade. "Molding the flow of light." Princeton Univ. Press, Princeton, NJ (2008).
[3]: DR. RAYMOND C. RUMPF lectures, https://empossible.net/
