Hi everyone,
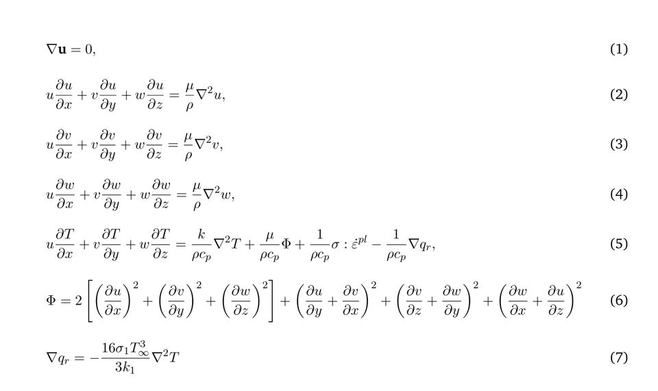
I’m working on a hypervelocity impact analysis involving a ball and plate, and I have a question about the governing equations for the simulation (details attached). I’m planning to use a UMAT to define my material model, but I’m uncertain whether Abaqus already includes these governing equations, or if I’ll need to develop them using a UEL.
Does anyone know if Abaqus has built-in FEM capabilities for this, or if I would need to implement the equations myself? Also, are there any open-source codes that handle these governing equations in FEM form, which might save me from building them from scratch?
My experience with FEM is fairly basic, so I’d appreciate any pointers that could streamline the process or help me avoid unnecessary complexity.
Thanks in advance for any insights!
Best Regards,
Amrith
