Hello!
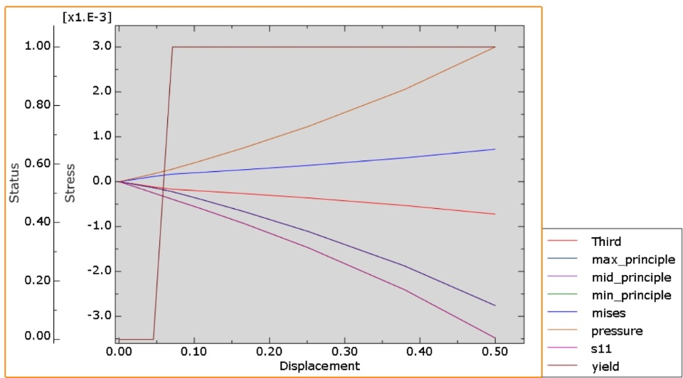
Studying the work of the Extended Drucker Prager material model on one element (C3D8R), I found that the stresses in the plastic zone (as measured by the AC Yield indicator) continue to rise at approximately the same rate as in the linear zone. The model was assumed to be perfect plasticity, in Drucker-Prager Hardening only one point is set - 120 MPa, zero absolute plastic deformation.
I associate the effect with the boundary conditions: I used symmetric boundary conditions for the corresponding sides - in Y (Y-symmetry) for the sides perpendicular to Y, Z-symmetry for the perpendicular to Z. The model is loaded with an equally distributed displacement along X (compression), opposite the side of the element has symmetric boundary conditions in X (X-symmetry). Such boundary conditions, by design, imitate periodic, so-called. PBC (Periodic Boundary Conditions).
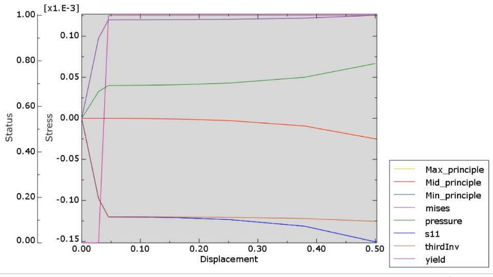
If we change the boundary conditions for displacement restrictions for one side (opposite to the displaced side), then the material model works more plausibly: yield areas are formed.
For both cases, I built graphs (in the appendix) for stresses according to Mises, Pressure, Third Invariant, S11 and Principles. The AC Yield indicator is also displayed on the charts. Units of stress measurement in Terra Pascals (i.e. 120 MPa is 120e-6TPa).
I would be grateful for your help in explaining this behavior of the material. The goal in the large model is to track the point of the beginning of the loss of bearing capacity, associated, among other things, with the exit into the plastic zone.
