Hi all, like the title says, I am trying to increase the output precision of the table *El Print writes to the .dat file. Is there a way to do this? I have tried using 'output_precision=full' in the command line but it doesn't change the .dat file.
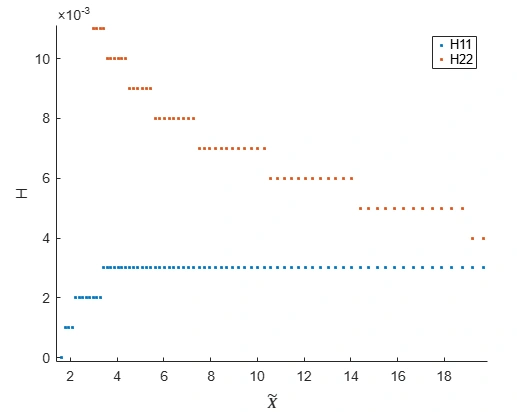
Currently, I am seeing only three decimal places, '1.006', but since the variations in the output variable are on the order of 10^-3, the output of the deformation gradient is taking on essentially discrete values because of the rounding, when I know the solution should be smooth. Here is a plot of H=DG-1 for my problem that shows the output of *El print is giving a step-like output due to rounding at the third decimal, even though it should be continuous:
Thank you!
