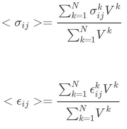
Homogenization

I want to script the following equation in Abaqus to give me the normalized stress and strain output. Can anyone help?