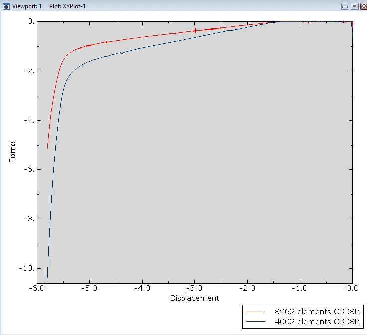
I have been doing some quasi-static analysis using linear elastic material with dynamic explicit (due to difficulties with contact convergence in static analysis). I am registering the reaction forces in the reference poitn of an analytical rigid surface and surprisingly the solutions strongly depend on the mesh size. In the image below you can see the difference between two simulations with two different mesh sizes (red:8962 elements; blue: 4002 elements). No need to say that in both cases I maintained mass scaling, velocities, etc.). I used a conservative mass scaling in order to avoid inertia effects.
Any suggestion?
