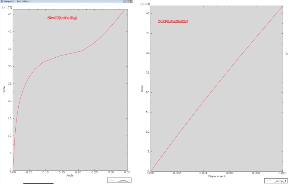
Quick question. I'm examining a stiffened box beam subjected to axial, shear, and bending loads, modeled with S4 shell elements. I've run a nonlinear Riks buckling analysis, and have set the termination criteria to be my expected worst case load proportionality factor. At this load, I'm interested in determining if any local panel buckling has occurred. I was wondering what ways people use to check if local buckling has occurred. I've been examining contour plots of nodal rotation UR, and plotting U/UR vs arc length of nodes with high UR (if this is linear then no local buckling, if plot is nonlinear / shows bifurcation then there is local buckling). Is this aligned with what you typically do? Are there any other ways to determine if local instabilities have occurred? Thanks in advance.
