Dear support,
I am Georgio Rizk, a PhD student at Université de Nantes – Institut GeM de Saint Nazaire.
I am trying to add terms (underlined in RED in image "eq") to the heat equation of abaqus in a heat transfer modeling:
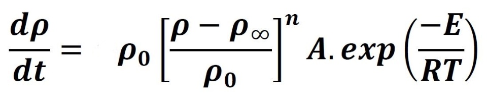
The main issue is the inclusion of dRho/dt calculated by (image "Rho") :
As you notice it is a temperature dependant term, which in fact is the solution of the simulation.
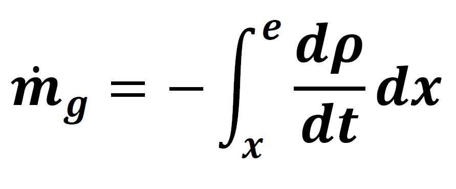
The other issue is Mdot (image "m") :
This term can be calculated once dRho/dt is known.
The other remaining additional terms are known constants.
Kindly help me add these terms, or at least guide me on how to do it and which subroutines to use.
Regards,
G.R.
