Hi All,
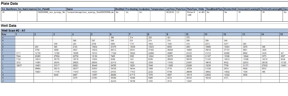
I am working on a pipeline to process some plate reader data. I want to use the "tag wells" component to mark wells which have a value greater than 12000. I am trying to use the Custom Expression option to do this, but I don't seem to be doing it properly. I think the problem is that I am specifying the wrong variable -- the expression I am using is:
'Well Scan #2 - A1' >= 12000
Where 'Well Scan #2 - A1' is the Sci_WellID for my scan. I'm attaching an image of the Single Plate Viewer readout for the plate data. Can anyone tell me what kind of an expression I should be using? The expression I list above results in all of the wells being tagged as "false", whereas there are many wells here whose value is above 12000 and I would think those wells should be tagged as "true"...
Thanks for the help!
