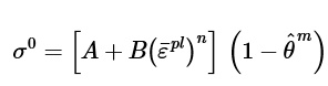
This post shows how one can use the new "calibration cases" functionality in the material model calibration app to perform a parametric study. The calibration cases functionality was added to R2023x FD01, which was pushed to the public cloud on Feb 11, 2023. In this example, we want to better understand how the shape of the stress-strain curve changes as we vary the Johnson-Cook parameter "n". The elastic-plastic Johnson-Cook hardening law equation is shown here:
For this example we will ignore the temperature dependent part, simplifying the equation to:
The Johnson-Cook hardening equation is referred to as a power law. The parameter 'A' is the initial yield, and all of the parameters 'A', 'B', and 'n' will affect the shape of the stress-strain response curve.
In the video below, we use the new "calibration cases" functionality to perform a parametric study on the parameter 'n'.
This is the 3dxml file :
Back to: Calibration App New Features in R2023x FD01
Back to: New Material Model Calibration App in 3DEXPERIENCE Platform
Back to: Material Modeling and Calibration - An Overview and Curriculum
