MC-PET: a thermoplastic microcellular polyethylene-terephthalate foam
Attila KOSSA, András Levente HORVÁTH:
Powerful calibration strategy for the two-layer viscoplastic model
Published: 2021, Polymer Testing, 107206
DOI: https://doi.org/10.1016/j.polymertesting.2021.107206
This is an open access article under the CC BY license (http://creativecommons.org/licenses/by/4.0/).
This is a very nice paper that:
- Describes the Abaqus TLVP material model.
- Describes a calibration tool that was created by the 2nd author.
- Validates the calibration tool using some test data for MC-PET (and other materials).
There was also another paper by an earlier PhD graduate, Szablcs Berezvai:
https://doi.org/10.1016/j.polymertesting.2020.106395
This is an open access article under the CC BY license (http://creativecommons.org/licenses/by/4.0/).
This second paper is more focused on the MC-PET material (a thermoplastic microcellular polyethylene-terephthalate foam), the testing at various temperatures and the various responses from the TLVP material model.
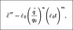
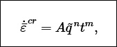
Validation material model (this is not MC-PET) : In the work below, the test data is actually synthetic data created by running the material model shown in Appendix B of the 1st paper. The material model looks like this:
This uses an older style "creep law", where the units on the "A" parameter are a bit strange. The "A" parameter can also get very small.
A newer style creep law was added to Abaqus so that the parameters would all have simple units.
To map from the older to the newer style formula, set e0_dot = 1 and then q0 = A ^(1/n)
The exponents "n" and "m" map directly.
This TLVP material model has a lot of parameters to try to determine from just one test. It would be best to have several different tests to make a better determination. Since the creep law represents a nonlinear viscous behavior, different tests at different load levels would be a good idea. Also, it would be best to have several tests at different loading rates (strain rates).
Here is a narrated video of importing the test data and using the test data clean-up tool:
Here is a follow-on narrated video of the calibration process:
One final thing we might do in this case... Since it is synthetic data and we know the correct answer, a nice double check is to type in the right answer. Notice that the R2 error norm value is now 1.000000
Excel file of the synthetic test data:
This zip file contains the Excel file and the two 3dxml files. The 3dxml files were created using version R2022x HotFix 4.18 of 3DX (on July 3, 2022)
Section 6.1 of paper, MC-PET :
I did not have access to the real test data, so synthetic data was created by running an Abaqus unit-cube model with the material parameters shown in Table 2 of the 1st paper. Here is a video showing the calibration process.
An image at the end of the calibration:
Here is the MC-PET synthetic data and two 3dxml files. The 3dxml files were created using version R2022x HotFix 4.21 of 3DX (on July 12, 2022)
Back to: Sharing Material Test Data
Back to: Material Modeling and Calibration - An Overview and Curriculum
