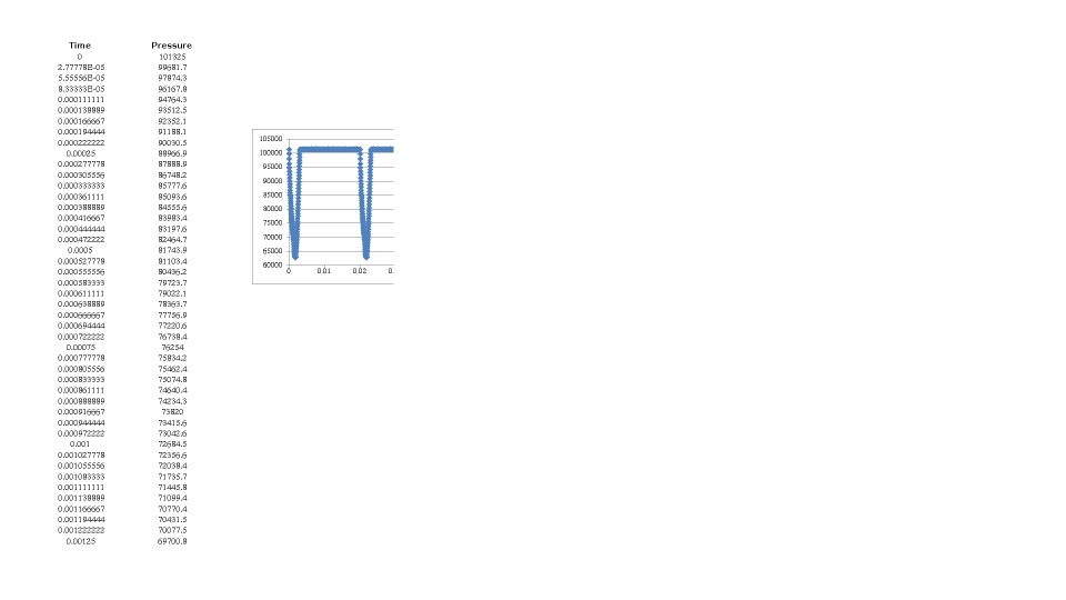
Hi everyone,
I am simulating the flow inside an airbox for a motorcycle engine. My simulation is transient (0.1s). My inlet boundary condition is an inlet velocity of 49 m/s and I have a graph of pressure vs. time for the outlet (valves opening). I ran a simulation with a static pressure (dependent of time) for the outlet where I put 101325 Pa between each depressure. The problem is that, with this boundary condition, the flow is still going through the inlet when the pressure is 101325 Pa (whereas the valves should be closed)
My question is therefore: how to tell the software that, between each depressure (due to the valves opening), that no flow can go through my outlet? i.e, how to tell the software to open and then close the outlet?
Thank you very much for your help!
Adrien
(I attached the pressure graph)
SolidworksFlow Simulation