Hi,
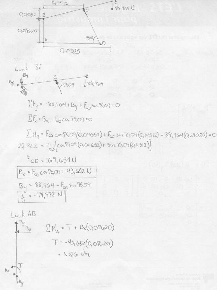
I have been trying for some time to model a simple four-bar mechanism and then make it undergo à simple static evaluation to know the reaction forces and moment at each joint. In order to validate hand calculation. But for some reason (which i don't understand) is that all the reaction forces that I calculated by hand are the same in solidwork but the moment are not. I had my calculations checked three time by three different person and they are good. I would like to know if this result is normal or not. my files will be attached to the post
Thanks in advance.
Matthieu TanguaySolidworksMotion Studies



I have been trying for some time to model a simple four-bar mechanism and then make it undergo à simple static evaluation to know the reaction forces and moment at each joint. In order to validate hand calculation. But for some reason (which i don't understand) is that all the reaction forces that I calculated by hand are the same in solidwork but the moment are not. I had my calculations checked three time by three different person and they are good. I would like to know if this result is normal or not. my files will be attached to the post
Thanks in advance.
Matthieu TanguaySolidworksMotion Studies
