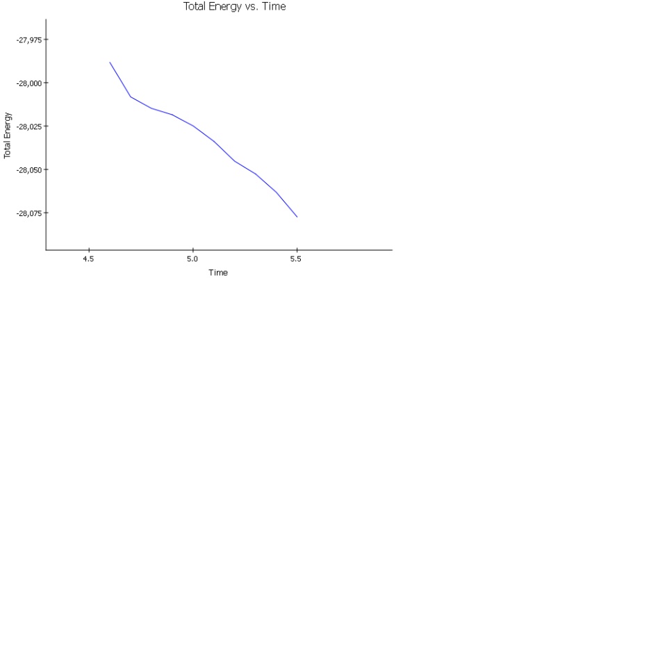
why does the graph of total energy Vs time alwayz reduce with respect to time in a standard dynamics cascade protocol. the graph i obtained is like this .
Also how do we visualize the trajectories obtained ?
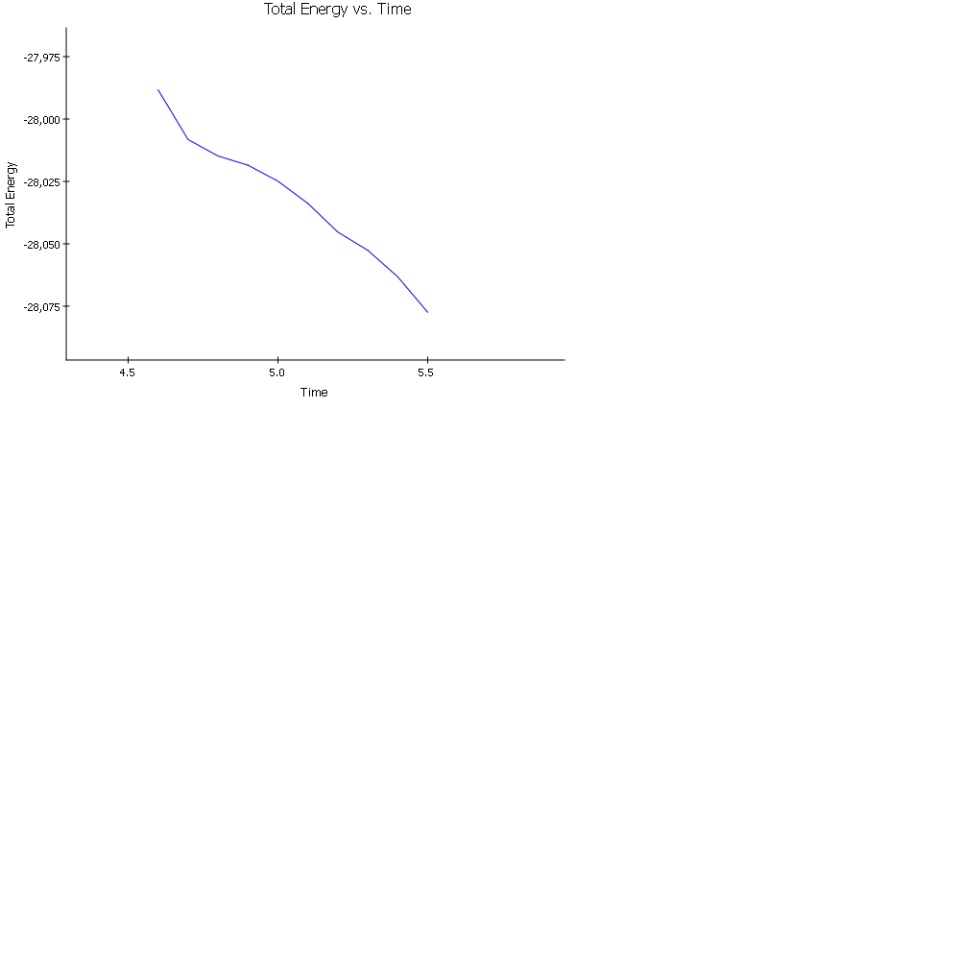
why does the graph of total energy Vs time alwayz reduce with respect to time in a standard dynamics cascade protocol. the graph i obtained is like this .
Also how do we visualize the trajectories obtained ?