Hi,
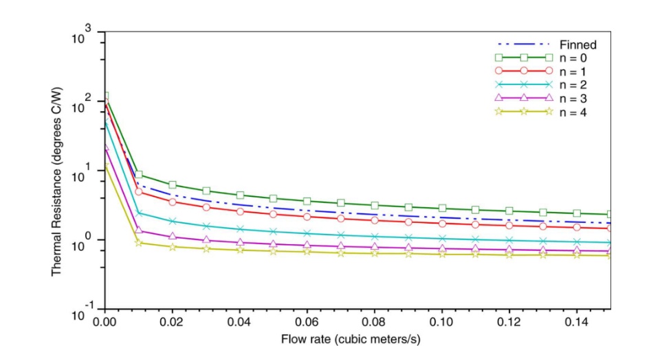
I noticed that the 2021 version of CST seems to have added some new supports. It looks that now one can create a box and simulate the airflow on that box similar to what is done in ANSYS Icepak. I would like to know if there is a way to use CST's Thermal solver to extract a thermal resistance of my geometry versus the flow rate of the air like it is done in the image extracted from "Design of a 3-D Fractal Heatsink Antenna". I have checked the changelog to see the new additions to the thermal solver as well as the tutorials and it doesn't seem to be up-to-date with the new features such as in the Interior Boundaries in the simulation tab of the CHT solver.
SIMULATION Edu CST Studio
