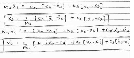
The final equations formed for Sprung and unsprung mass acceleration are given below.
By using these equations a Scilab model was made. Edu
In the Scilab model, initially we have an equation of sprung and unsprung mass acceleration. For finding velocity and displacement integral function is used.
Outputs of the model
