I am a Mechanical Engineering final year student at Vishwakarma Institute of Technology in Pune, Maharashtra, India. Currently, I am working with the Scilab software.
The quarter car suspension model is a simplified representation used in automotive engineering to analyze vehicle suspension systems. It's called "quarter" because it considers only a quarter of the vehicle's suspension system. It divides the vehicle into four components: the sprung mass (vehicle body and occupants), the unsprung mass (wheels and part of the suspension), a spring (representing suspension stiffness), and a damper (representing shock absorption). This model helps engineers study how the suspension responds to road inputs, enabling optimization of ride comfort, vehicle stability, and handling.
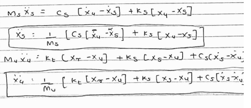
In the Free Body Diagram of Suspension Model force by Spring is, force by Damper is
and tire stiffness force is denoted by
. By using Newton’s Second Law of Motion all forces are equated and two separate equations are formed for sprung and unsprung mass.
The final two equations are for Sprung and Unsprung mass Acceleration. By using these equations we can form a Scilab Model.
