College - Indian Institute of Technology (IIT), Madras
Abstract -
In this study, I aimed to create a one-stop solution for a tablet desk stand that is highly adjustable, portable, and adaptable to any situation. The design and structural optimization were achieved using parametric modeling and finite element analysis (FEA), focusing on reducing Von Mises stress and minimizing mass while maintaining stability and ergonomic flexibility. My approach involved iterative parametric design adjustments combined with theoretical force calculations based on Kinematics and Dynamics of Machinery principles, particularly focusing on the open chain mechanism of robotic arms.
Through multiple concept iterations, we systematically addressed structural integrity, material efficiency, and usability challenges. The final design offers superior multi-axis freedom, optimized load distribution, and minimal displacement, providing robustness
Novelty And Approach
The design concept evolved through three distinct iterations, each addressing unique functional and structural challenges. By integrating insights from each iteration, we aimed to achieve an optimal balance between adjustability, stability, and portability.
- Concept Design 1 — Foldable Laptop Stand
Inspiration:
This initial concept was inspired by the design of a generic laptop stand, known for its simplicity and portability. The foldable mount provided adjustable angles for comfort and easy storage, which made it ideal for compact work environments.
Key Features:
- Adjustable Angles: Allowed users to modify viewing angles for ergonomic convenience.
- Foldable Mount: Enabled easy storage and portability.
Limitations:
While the design effectively addressed portability, it lacked the flexibility to accommodate diverse positioning requirements. The limited degree of freedom and absence of height adjustment restricted its applicability in dynamic use cases. This realization prompted a shift towards exploring more versatile mechanisms.
- Concept Design 2 — Telescopic Mechanism with Ball Joint
Inspiration:
The second concept was inspired by telescopic stands equipped with ball joints to achieve 360-degree rotation and unrestricted angular freedom. This approach aimed to introduce vertical adjustability and enhanced positioning flexibility.
Key Features:
- Telescopic Extension: Offered adjustable height for varying user preferences.
- Ball Joint Mechanism: Provided unrestricted angular freedom and 360° rotation.
Limitations:
This design faced significant issues due to its inherent structural limitations:
- Giraffe Neck Effect: The telescopic mechanism became unstable at extended heights, resulting in excessive vibrations.
- Limited Flexibility: Movement was primarily along a single degree of freedom with pan rotation, restricting multi-axis positioning.
- Set Locking Points: The telescopic extension offered only predefined locking points, limiting continuous height adjustment.
These limitations led us to explore a more modular approach to achieve better stability and flexibility.
- Concept Design 3 — Robotic Arm Mechanism
Inspiration:
The third iteration was inspired by the open-chain mechanism of robotic arms, known for their multi-axial flexibility and tension joint systems. The goal was to achieve superior adaptability while maintaining structural stability.
Key Features:
- Multi-Axial Freedom: Allowed for precise positioning in multiple orientations.
- Tension Joints: Provided smooth movement with controlled stiffness.
Limitations:
Although this concept significantly improved flexibility and precise positioning, it had critical drawbacks:
- Lack of Portability: The structure could not be folded, making it bulky and inconvenient for transportation or compact storage.
- Complex Assembly: The increased number of joints added complexity, which could lead to potential points of failure over time.
The need for a portable yet flexible design prompted further refinement, combining the best features of previous iterations.
- Final Design
Inspiration & Integration:
Our final design integrated key insights from previous iterations, combining the portability of Concept 1, the adjustability of Concept 2, and the flexibility of Concept 3. Adopting a foldable scissor lift mechanism effectively addressed the "Giraffe Neck" problem — where excessive height leads to structural instability.
Key Features:
- Foldable Scissor Lift: Provides adjustable height with improved stability.
- Modular Base with Yaw Rotation: Allows edge clamp attachments and multi-axis freedom.
- Foldable Mount: Enhances portability for easy storage.
- Mid-Point Pivot: Ensures balanced load distribution to prevent toppling.
- Friction-Based Joints: Offer smooth, adjustable movement without the need for locking mechanisms.
This final iteration delivers precise positioning capabilities while balancing portability, robustness, and aesthetic appeal.
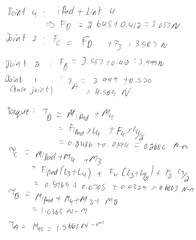
Methodology - A)Theoretical Calculations :
For simplicity, the system is modeled as an open chain with the iPad and mount treated as a single-end effector. The supports act as links, forming a 4-bar linkage. The following calculations were done on the given data of the assembly
Mass Properties of Apple iPad - Mass: 269.63 g
Mass Properties of Support-1
- Mass: 54.06 g
- Dimensions: 124 mm (L) x 25 mm (W) x 8 mm (T)
Mass Properties of Support-2
- Mass: 42.06 g
- Dimensions: 94 mm (L) x 25 mm (W) x 8 mm (T)
Mass Properties of Joint
- Mass: 10.12 g
- Diameter: 12 mm
- Perimeter: 75.4 mm
Link Assignment:
- Link 1 & 3: Support-1 properties
- Link 2 & 4: Support-2 properties
Relations :
Methodology - B)Simulations and Observations :
To validate the structural integrity of our final design, we conducted a baseline static structural simulation before initiating optimization efforts. This simulation aimed to determine whether the structure could withstand realistic operational loads without compromising stability.
Simulation Setup:
- Force Application: Gravity was applied as the primary force, acting on the iPad and pulling downward with its weight. High Pre-load force (around 10-15KN) was used on the joints to simulate a bolt.
- Component Interactions: The assembly included a global interaction that bonded everything which was overwritten by Local Interactions of Contacts to simulate relative motion between joints, Links, Rivets, and Mounting Plates. The friction coefficient was quite high for Friction-based Joints to work.
- Meshing: A fine mesh with curvature refinement was employed to ensure accurate stress distribution analysis.
Parts -
Case - I : Every Part was made of ABS material downloaded from materiality to see if the model could be 3d Printed
Mass Properties -
Mass = 3438.95 grams
Center of mass: ( millimeters )
X = 18.23
Y = 69.96
Z = 40.45
Observation :
Displacement Analysis:
- The excessive displacement indicated that the structure could not adequately support the tablet's weight.
Stress Analysis:
- Von Mises Stress results were not meaningful since the primary issue was deformation rather than failure due to high stress.
- Principal Stress Analysis indicated that the maximum stress across the structure was ~255.6 psi (2.556+e02 psi), which is relatively low but still problematic due to excessive bending.
Case - II: Metallic Materials
The iPad mounting plates use ABS-PC for its lightweight, impact resistance, and scratch prevention, with stainless steel plates for the parts that connect the end plates for motion. The base plate is 7075-T6 aluminum, ensuring high strength and load-bearing capacity, while the bottom plate is 6061-T6 aluminum for structural support and machinability. 2024 aluminum is used for support structures due to its high strength-to-weight ratio, and AISI 1020 steel is chosen for locks and rivets to ensure durability and secure joint
s.
Mass = 7592.13 grams. Center of mass: (millimeters ) X = 15.87, Y = 64.67, Z = 35.20
The final material selection significantly reduced displacement (from 19mm to ~0.016mm) and lowered principal stresses to 199.6 MPa, ensuring long-term durability.
Despite a higher weight (7kg), the robustness of the stand makes it ideal for fixed workspaces where stability, flexibility, and usability matter more than portability. This balance justifies the material choice.
Parametric Design Optimization :
Given the multiple degrees of freedom—such as base yaw rotation, mount yaw & tilt, and scissor-mount positioning—the total number of possible parameter variations exceeds 400+ scenarios. However, for testing, we optimized around 96 scenarios focused on mass reduction and minimizing displacement while ensuring stability
To keep dependencies intact and avoid interferences, global variables and equations were used. This automated updates across the assembly whenever a linked parameter changed, significantly simplifying the optimization process.
Instead of directly running the study as an optimization, I switched to Monitor Only mode and later downloaded the CSV file containing all scenario results. Using a MATLAB script, I extracted key values and assigned a weightage-based ranking system to determine the best scenario.
This approach allowed for better visualization of trade-offs between mass reduction and structural performance. Given the assembly's complexity and weight, rerunning simulations for every iteration would have been computationally expensive. The MATLAB-based evaluation method streamlined the decision-making process without additional simulation overhead.
Conclusion :
Exploring various optimization techniques and implementing them in a real-world design has been an insightful experience. The process of adjusting parameters, understanding dependencies, and leveraging global variables for seamless modifications has deepened my understanding of parametric design.
A key learning point was simulating friction-based joints, which was a first-time challenge for me. The complex interactions between components required a balance between structural stability and weight reduction, ultimately leading to a functionally robust but heavier final design.
This design turned out heavier than initially intended, but the trade-off is its robust positioning flexibility for the tablet. The material choices were justified earlier, particularly to support friction-based joints and withstand pre-load forces. Ultimately, this is the best standalone tablet stand design, though it could be made smaller but thicker for portability by reducing the number of links. Overall, I believe this is the best balance between functionality and structural integrity.
Special thanks to Sujin K for mentoring and helping me through the assembly design!
Appendix -
Please find the files Below :
