This post is a continuation of the Getting Started with ABAQUS series
Isotropic viscoelasticity describes a material that combines two distinct properties:
👉Elasticity: The ability to bounce back or return to its original shape after deformation, like a rubber band.
👉Viscosity: Resistance to flow or deformation over time, like honey or modelling clay.
➡️Isotropic means the material's properties are the same in all directions. So, it behaves consistently regardless of how you stretch or compress it (except for some specialized materials).
➡️In essence, an isotropic viscoelastic material exhibits both elastic and viscous behavior. It can deform under stress (like a viscous material) but also recover some or all of that deformation over time (like an elastic material).
Here are some everyday examples:
Silly putty (silicone putty): Stretches and flows slowly due to viscosity but eventually bounces back to its original shape due to elasticity.
Gummy candies: Soft and chewy due to viscosity but can regain some shape after being pressed.
Defining Isotropic Viscoelasticity in ABAQUS
ABAQUS offers a feature called isotropic time domain viscoelasticity. This is useful for studying materials that exhibit both elastic and viscous behavior (think materials that bounce back a little but also creep over time).
It works for small deformations when the material's initial elasticity can be described by a simple model.
For small Strains
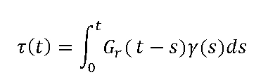
is applied to the material. The response is the shear stress
. The viscoelastic material model defines
as:
is the time dependent “shear relaxation modulus” that characterizes the material’s response. This constitutive behavior can be illustrated by considering a relaxation test in which strain
is suddenly applied to a specimen and the held constant for a long time.
For larger deformations, a more complex model is needed to describe the initial elasticity.
An important assumption in this feature is that the material behaves the same regardless of the direction of stress, except for special cases like elastomeric foams.
Edu
