This post is a continuation of the Getting Started with Abaqus Series:
Understanding the material in FEA is key!
🤔Why? Because the material properties dictate how a part will deform (strain) under stress. Back in 1678, Hooke observed a proportional relationship between strain and stress. Poisson later built upon this work.
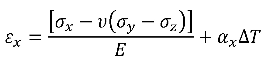
👉This fundamental principle, known as Hooke's Law or a material's "constitutive relation," describes this relationship. For instance, in an isotropic material (same properties in all directions) with initial thermal strain, the relationship between the change in length along one direction (normal strain) and the various stress components can be expressed as:
Where, is the strain along x-axis;
are stress vectors, E is the material’s elastic modulus (the slope of a strain–stress diagram), υ denotes the material’s Poisson ratio (the ratio of
),
is the thermal coefficient of the material.
is the temperature increase from the stress-free state.
👉In FEA, an isotropic material model represents a material that exhibits the same mechanical properties in all directions. This means the material's stiffness, strength, and deformation behavior are independent of the direction of applied stress or strain.
Here are some key characteristics of isotropic materials:
- Uniform Properties: Material properties like Young's modulus (elasticity), Poisson's ratio (ratio of transverse to axial strain), and yield strength (stress at which plastic deformation begins) are the same regardless of the direction of loading.
- Simple Material Behavior: Isotropic materials are often used to model homogeneous and linearly elastic materials like steel, aluminum, or some types of plastic in their elastic range.
- Limited Complexity: While isotropic models are a good starting point for many analyses, they don't capture the behavior of materials that exhibit directional dependence in their properties.
👉Applications of Isotropic Material Models:
Isotropic models are often used for initial FEA simulations to get a general sense of stress distribution, deformation patterns, and overall structural behavior.
- Simple Geometries: When dealing with simple geometries and loading conditions where material directionality is not critical, isotropic models can provide efficient and accurate results.
- Linear Analyses: Isotropic models are well-suited for linear elastic analyses, where the material deforms proportionally to the applied stress within a specific stress-strain range.
For an isotropic solid, matrix form of Hooke’s Law is:
👉Shortcomings of Isotropic Material Models:
The isotropic material model is a fundamental concept in FEA, providing a simple and efficient way to analyze the behavior of homogeneous and linearly elastic materials. However, it's important to be aware of its limitations and choose the appropriate material model based on the specific material properties and the complexity of the engineering problem you're trying to solve.
